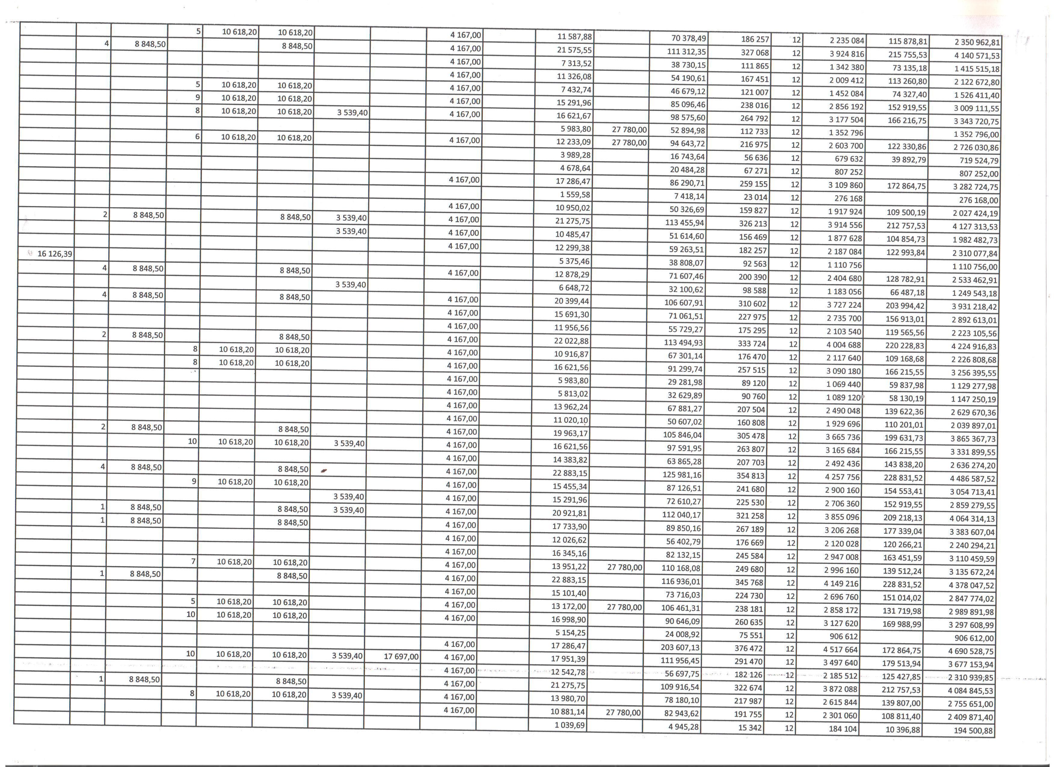
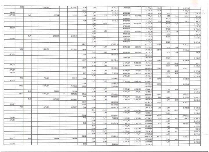
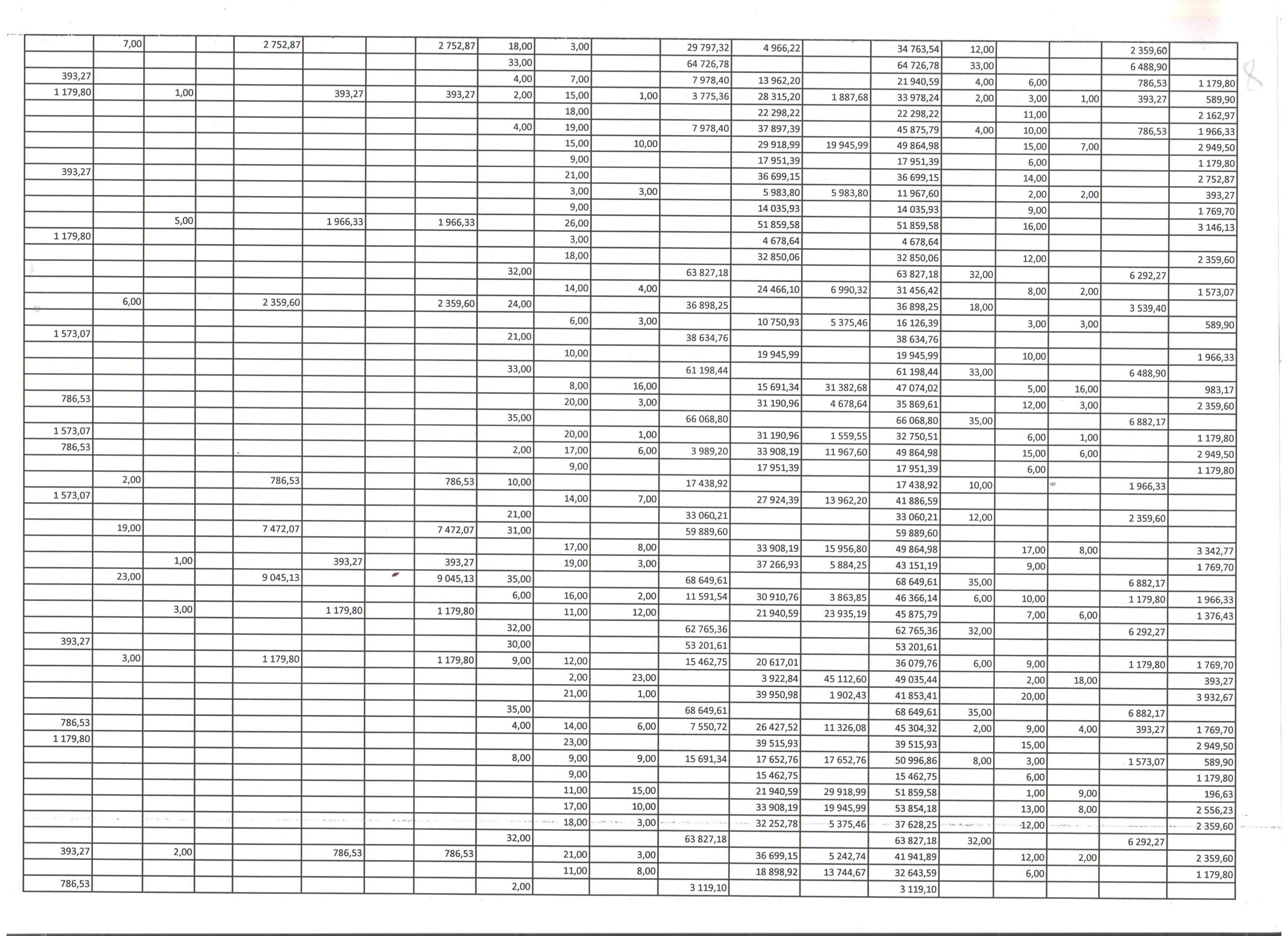
Тарификация » Средняя общеобразовательная школа № 22
"Абай облысы білім басқармасы
Семей қаласы білім бөлімінің"
"№22 жалпы орта білім беретін мектеп-лицейі"
отдела образования Кербулакского района
Приемная
+7(7222) 42-15-97
Бухгалтерия
+7(7222) 32-88-44
Версия для
слабовидящих
Семей қаласының №22 мектеп-лицейінің ресми сайтына қош келдіңіздер!
25
сентябрь
2020

Тарификация

















Похожие публикации:

30 март 2023 Тарификация